
CASENAVE Martina – VACAFLOR Nahir
1
UNIDAD 2 LA PUBLICIDADA POSESORIA
A) LAS RELACIONES DE PODER O RELACIONES REALES
A la relación de poder se la puede definir como: la relación directa e inmediata que tiene la persona con la
cosa. Y cuando se habla de derecho real, también se puede definir como la relación directa e inmediata que tiene
la persona con la cosa.
Cuando se habla de derecho real, la relación directa e inmediata que tiene la persona con la cosa es una rela-
ción JURÍDICA.
En cambio, es una relación de poder, el sujeto tiene una relación directa e inmediata con la cosa, la relación
es FÍSICA, el derecho no influye. Ej, cada alumno con su lápiz, sin perjuicio de que lo hayan comprado, hurtado,
etc. se puede ver que cada uno utiliza el lápiz y esa es la relación de poder
En el libro tercero del CÓDIGO CIVIL cuando habla de los derechos reales, hay una nota que dice: “Al tratar de
las cosas y de la posesión antes que de los derechos reales, seguimos la opinión y el método de Mackeldey, porque
las cosas y la posesión son los elementos de los derechos reales.”
Desarrolla las cosas y luego sigue con la posesión, porque la cosa y la posesión son los elementos de los dere-
chos reales.
CRÍTICA: los elementos de los derechos reales son los sujetos y la cosa, la posesión no es un elemento de los
derechos reales, sino que es el contenido de los derechos reales, es la forma de cómo ejercito el derecho real.
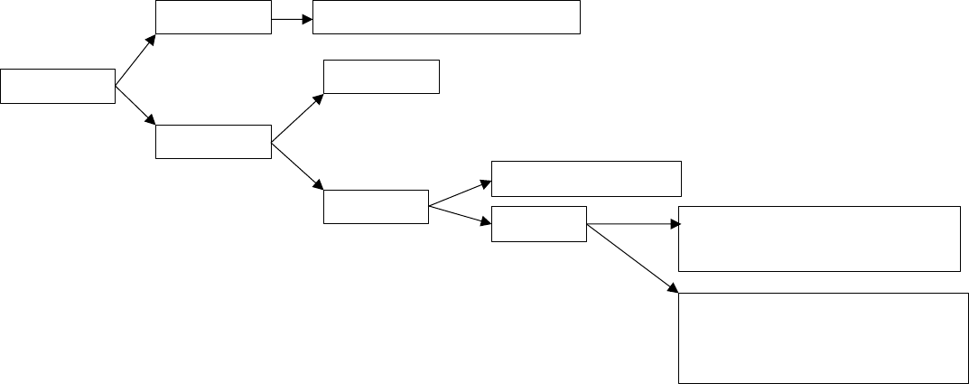
Dentro de la RELACIÓN DE PODER puede haber distintos grados:
1) YUXTAPOSICIÓN LOCAL: hay una relación física con la cosa, el sujeto toca la cosa, pero no tiene voluntad de tener
una relación física con la cosa. Ejemplo, el sonámbulo que toma una lapicera y la tira o del preso con respecto a
sus cadenas.
2) LOS SERVIDORES DE LA POSESIÓN:
‒ Vínculo de dependencia: ejemplo la secretaria que utiliza la computadora en la oficina.
‒ Vínculo de hospedaje: ej cuando una persona se hospeda en un hotel, es la relación que tiene con la cama,
los toallones, etc.
‒ Vínculo de hospitalidad: ej una persona nos visita en nuestra casa, es la relación que es persona tiene con
nuestras cosas.
Estas relaciones de poder son más LIMITADAS.
3) POSESIÓN: el C. de Vélez toma el criterio de Savigny, dice que hay posesión cuando hay CORPUS y ANIMUS.
- CORPUS: es la posibilidad de disponer físicamente de la cosa. Hay corpus cuando estoy en contacto físico
con el lápiz; o cuando tengo la posibilidad de ejercer ese contacto físico, ej cuando doy la llave donde está
guardada la cosa; o cuando la cosa entra en la esfera de custodia de la persona, ej cuando el diarero tira
el diario que cae en el jardín, está dentro del ámbito de custodia. El lápiz lo puedo dejar en casa, y cuando
yo lo necesito lo uso, tengo la posibilidad física de disponer de la cosa, no es necesario llevarlo.
- ANIMUS: es comportarse respecto de esa cosa como si fuera el propietario de la cosa, por ejemplo, el
ladrón es poseedor porque se comporta como dueño y señor de la cosa, aunque él sepa que no es el
propietario.
Para ser poseedor tengo que tener el CORPUS y el ANIMUS, poder disponer físicamente de la cosa y compor-
tarme respecto de esa cosa como si fuese el dueño de la cosa, no reconociendo en otro un señorío superior.
4) TENENCIA: es cuando se reconoce en otro el señorío superior, ej el locatario (tenedor) puede disponer físicamente
de la cosa, pero no tiene el ANIMUS, porque reconocen el señorío superior en el locador.
La tenencia y la posesión tienen en común el CORPUS, pero difieren en el ANIMUS.
Ya no se habla del tenedor interesado o desinteresado, el interesado era aquel que podía usar la cosa, ej loca-
tario; el desinteresado era aquel que no podía utilizar la cosa, ej el depositario.
5) CUASIPOSESIÓN: el CCyC no la nombra, pero el C. de Vélez la nombraba en una nota, la cuasiposesión tenía los
mismos efectos que la posesión. Surgía del derecho romano porque se dividía en: cosas corporales (derecho real
de dominio) y cosas incorporales (el resto de los derechos), lo que estaba fuera del derecho real de dominio
(usufructo, uso, habitación) había dominio desmembrado, es decir que era casi como el poseedor pero no era
poseedor, no tenía la posesión concreta como la tenía el del derecho real.
En nuestro derecho, es poseedor tanto un titular de un derecho real de dominio o de usufructo, uso o habita-
ción.