Tabla de Integrales
indefinidas
Índice
Reglas para una integración
4
Método de sustitución
6
Integrales clasificadas por tipo
Integrales del tipo 
7
Integrales del tipo

8
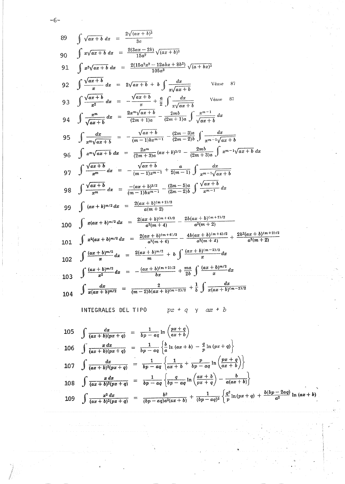
Integrales del tipo  y 
9
Integrales del tipo  y

10
Integrales del tipo
 y

10
Integrales del tipo
11
Integrales del tipo
12
Integrales del tipo
13
Integrales del tipo
14
Integrales del tipo 
15
Integrales del tipo 
16
Integrales del tipo

18
Integrales del tipo

19
Integrales del tipo
20
Integrales del tipo
20
Integrales del tipo
21
Integrales del tipo 
22
Integrales del tipo 
23
Integrales del tipo 
y 
25
Integrales del tipo
27
Integrales del tipo 
28
Integrales del tipo 
28
Funciones trigonométricas recíprocas
29
Integrales del tipo
32
Integrales del tipo 
33
Integrales del tipo 
33
Integrales del tipo 
35
Integrales del tipo  y 
36
Integrales del tipo
37
Integrales del tipo 
37
Integrales del tipo 
38
Integrales del tipo 
38
Funciones hiperbólicas recíprocas
39
4
5
6
7
8
9
10
11
12
13
14
15

Este documento contiene más páginas...

Descargar Completo
Tabla de Integrales_230529_091844.pdf
browser_emoji Estamos procesando este archivo...
browser_emoji Lamentablemente la previsualización de este archivo no está disponible. De todas maneras puedes descargarlo y ver si te es útil.
Descargar
. . . . .