
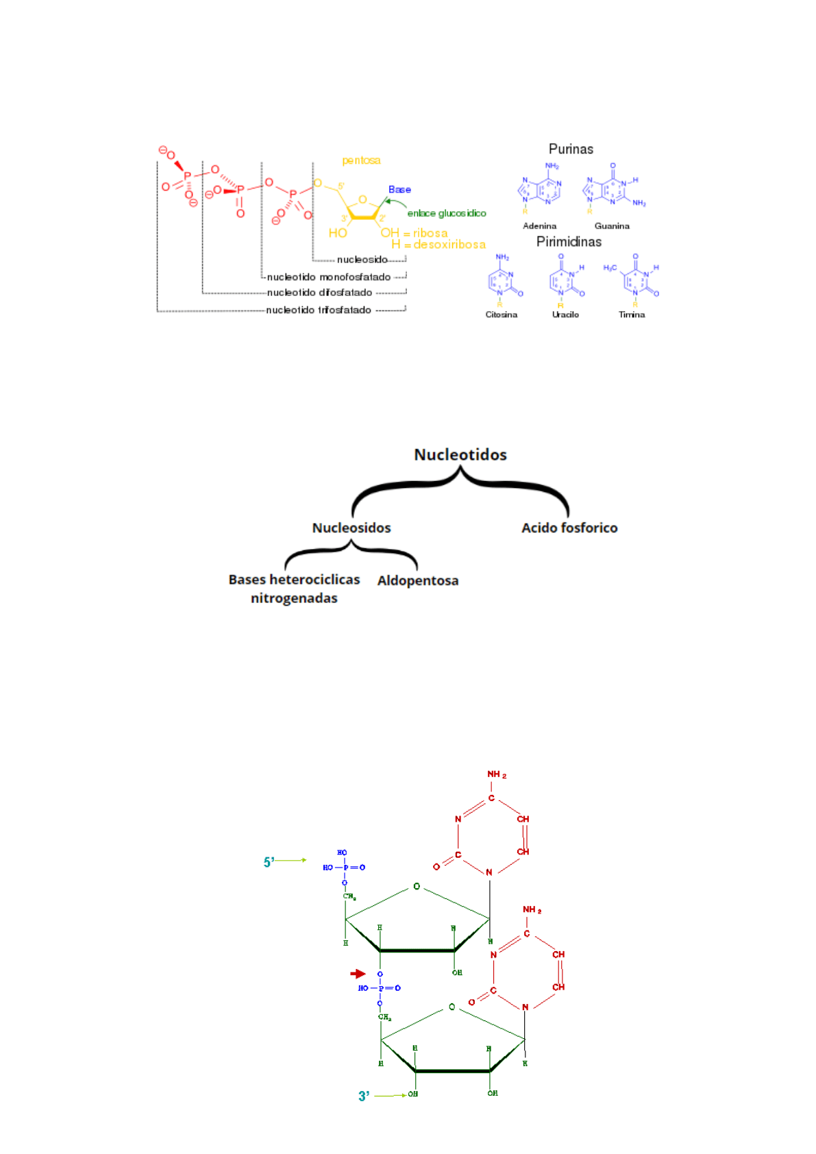
● El ARN (Ácido ribonucleico) se forma por la polimerización de ribonucleótidos, los
cuales, se unen entre ellos mediante enlaces fosfodiéster en sentido 5”- 3” (igual que
en el ADN). Estos a su vez se forman por la unión de un grupo fosfato, una ribosa
(Aldopentosa cíclica) y una base nitrogenada unida al carbono 1” de la ribosa, y
puede ser citosina, guanina, adenina y uracilo. En general los ribonucleótidos se
unen entre sí, formando una cadena simple
● Un gen está compuesto por una secuencia lineal de nucleótidos en el ADN, dicha
secuencia determina el orden de los aminoácidos en las proteínas
● Sin embargo, el ADN no proporciona directamente de inmediato a la información
para un ordenamiento de los aminoácidos y su polimerización, sino que lo hace a
través de otra moléculas, los ARN
● Se conocen tres tipos principales de ARN Y todos ellos participan de una u otra
manera en la síntesis de proteínas, ellos son: ARNm, ARNr y ARNt
● El ADN (Ácido desoxirribonucleico), material genético de todos los organismos
celulares y casi todos los virus. Su secuencia de nucleótidos contiene la información
necesaria para poder controlar el metabolismo en un ser vivo
● El ADN lleva la información necesaria para dirigir la síntesis de proteínas y la
replicación
● La mayoría de las moléculas de ADN poseen 2 cadenas antiparalelas (una 5”- 3” y la
otra 3”- 5”) unidas entre sí mediante las bases nitrogenadas por medio de puentes
de hidrógeno: