
hidrolasas, otras son asociaciones de subunidades o cadenas polipeptídicas; son
oligoméricas.
Hay enzimas que sólo pueden realizar su función catalítica asociándose con otras
moléculas no proteicas, las COENZIMAS, que pueden estar unidas a las enzimas por
enlace covalente u otro tipo de enlace, quien representa el “GRUPO PROSTÉTICO”.
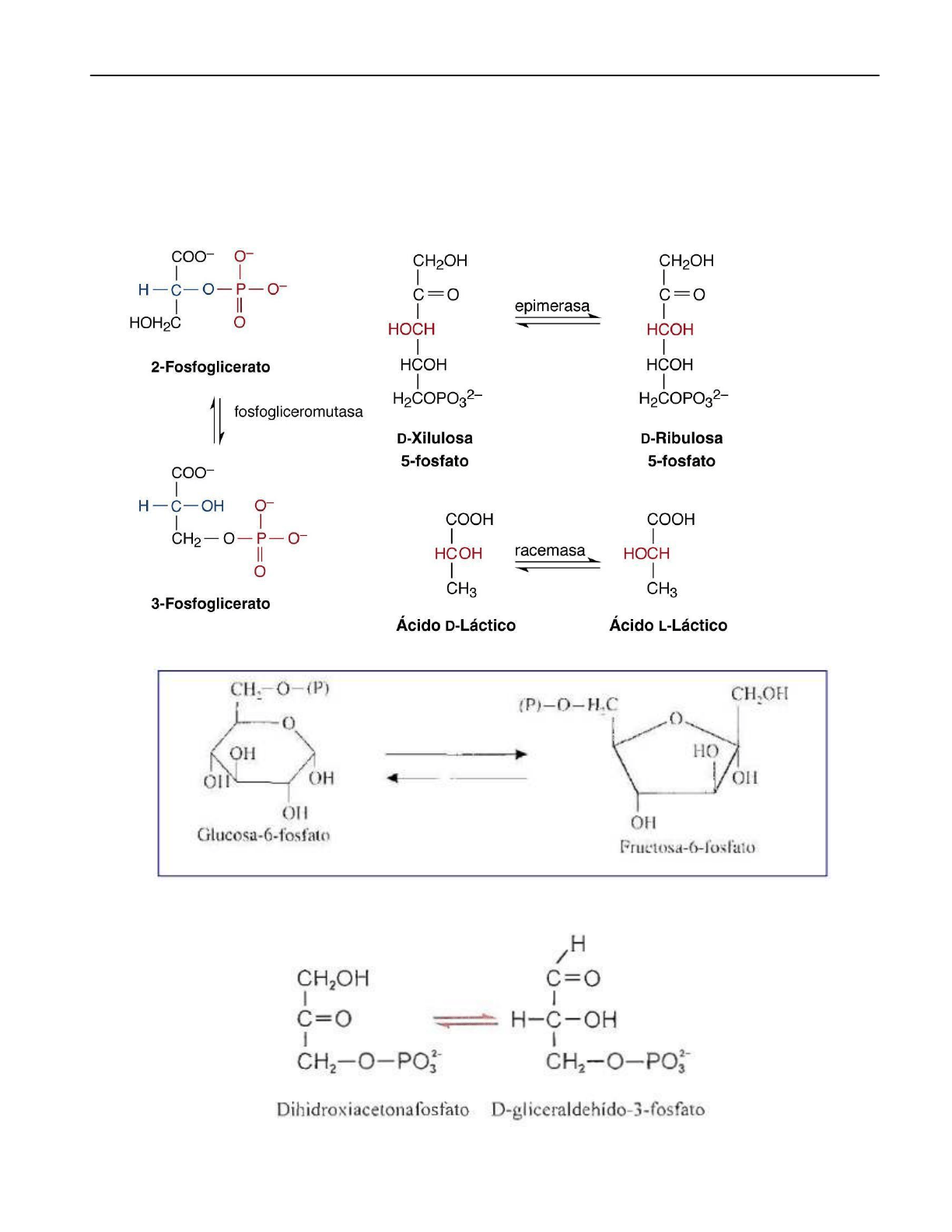
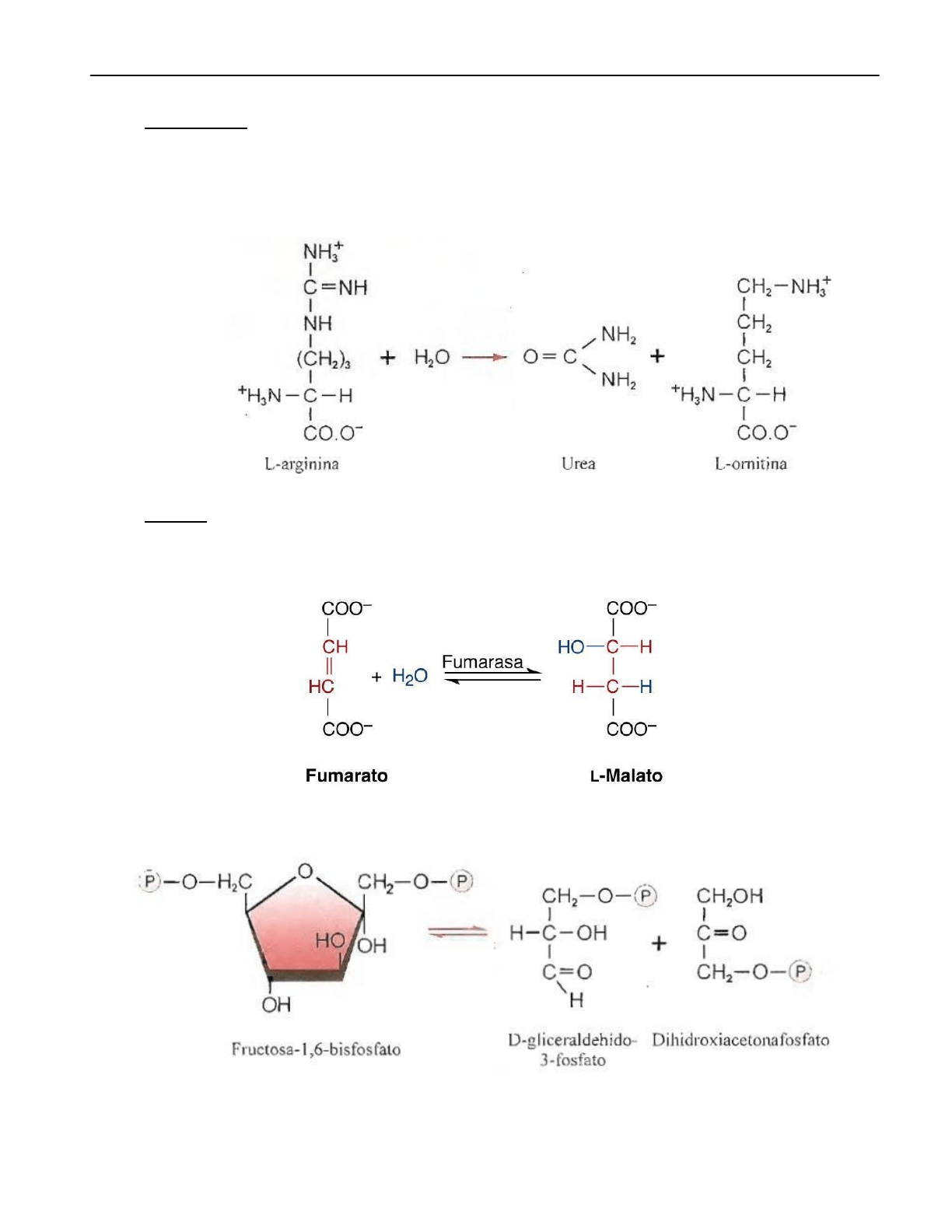
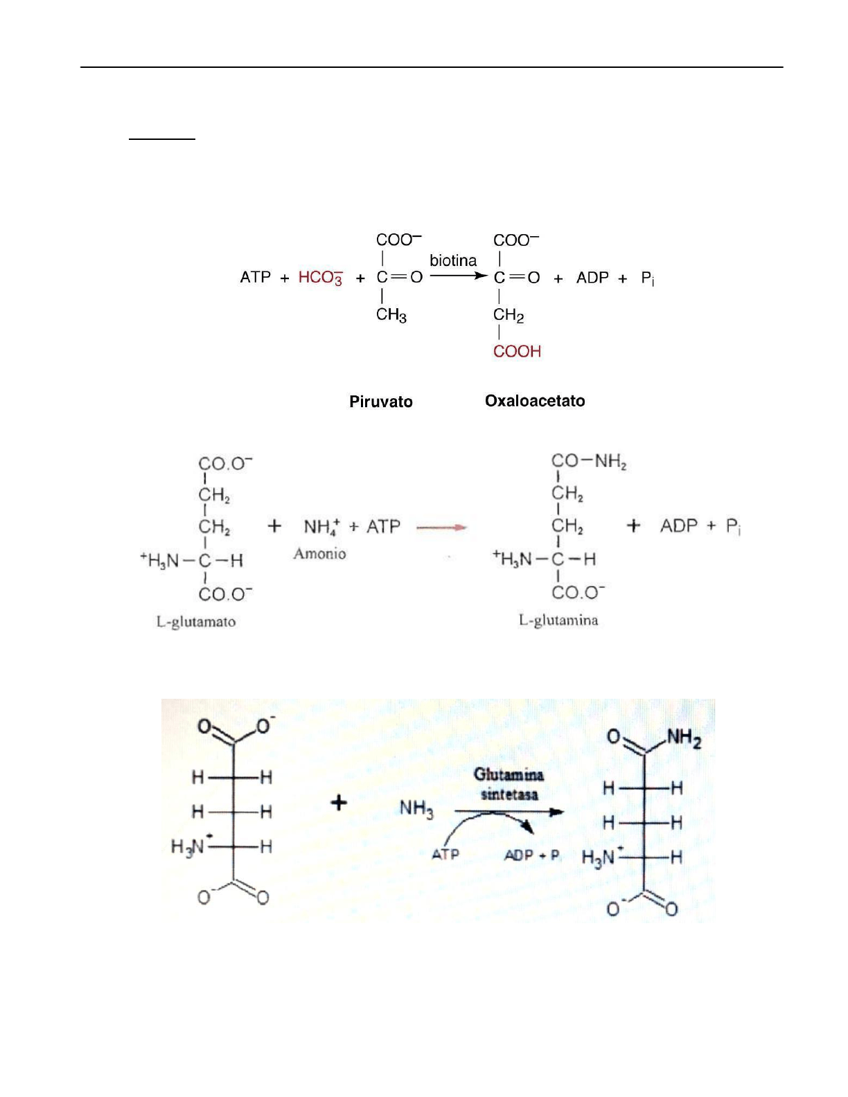
Las oxido-reductasas (1), transferasas (2), isomerasas (5) y ligasas (6) requieren la
participación de coenzimas.
Las coenzimas intervienen en la reacción experimentando cambios que compensan las
transformaciones del sustrato.
Ejemplo: las oxido-reductasas actúan aceptando o cediendo protones o electrones del
sustrato. Algunas poseen estructura de tipo nucleotídica y por otra parte están relacionadas
con las vitaminas, sobre todo con las del complejo B.
El sistema completo se llama holoenzima y está constituido por la parte proteica
apoenzima y la coenzima.
Experimenta cambios luego de la
reacción
Marcada especificidad por el
sustrato
No poseen afinidad por el sustrato
HOLOENZIMA = APOENZIMA + COENZIMA
(Enzima total) (Proteína) (Parte no proteica)
La parte proteica o apoenzima es la parte que le da especificidad a la holoenzima.
La apoenzima unida a la coenzima le da actividad a la holoenzima.
Una coenzima puede unirse a diferentes apoenzimas y actuar frente a diferentes sustratos.
Metaloenzimas…